Güncelleme Tarihi:

Araç sahiplerinin yılda iki kez ödediği Motorlu Taşıtlar Vergisi (MTV) 2022 yılı için yüzde 25 olarak belirlendi. Ödemeler internet üzerinden de gerçekleştirilebiliyor. İşte MTV oranları ve ödeme tarihi hakkında bilgiler...
MTV NE ZAMAN ÖDENİR?
MTV ödemelerinin ilk taksiti Ocak ayında, ikinci taksiti ise Temmuz ayında yapılıyor.
Ocak ayında yapılan ödemeler 1 Ocak – 31 Ocak tarihlerinde tamamlandı. Temmuz ayı ödemeleri ise 1 Temmuz - 1 Ağustos tarihleri arasında gerçekleşecek.
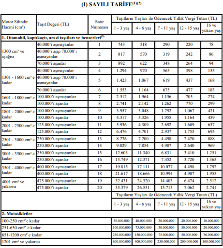
MTV TAKSİDİ NE KADAR?
2022 yılı için Motorlu Taşıtlar Vergisi (MTV) yüzde 25 olarak belirlendi. İkinci taksit ödemeleri de aracın motor silindir hacmi, yaşı, koltuk sayısı ve doğaya salmış olduğu emisyon oranına göre araçtan araca farklılık gösterecektir.



