Güncelleme Tarihi:

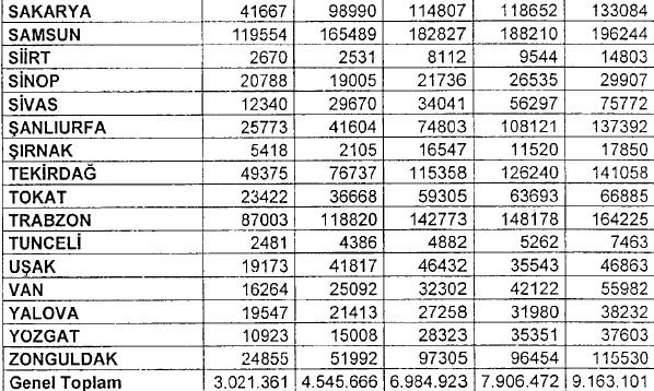
Sağlık Bakanlığı CHP İstanbul Milletvekili Sezgin Tanrıkulu'nun verdiği bir soru önergesi üzerine Türkiye’de psikolojik rahatsızlık vakalarına ilişkin verileri yayımladı. 2009 ve 2013 yılları arasındaki verilerin incelendiği çalışmada 2009 yılında İstanbul’da 262 bin 364 kişinin psikolojik sıkıntılarla doktora başvurduğu görüldü. 2013 yılına gelindiğinde ise bu rakam 1 milyon 498 bin 340’a çıktı. Yani psikolojik sıkıntılarla İstanbul’da doktora başvuranların sayısı neredeyse 6 kat arttı. Ankara’da 2009 yılında psikolojik rahatsızlıkları dolayısıyla doktora başvuran kişi sayısı 73.370 iken 2013 yılında bu sayı 487 bin 29’a çıkarak rekor seviyede arttı.
İşte 81 ilde psikolojik rahatsızlıklar nedeniyle sağlık kuruluşlarına başvuran kişi sayıları:
Öte yandan Türkiye'de psikolojik şikayetlerle doktora başvuran kişi sayısında patlama olmasına rağmen anti depresan ve benzeri nitelikteki ilaçların tüketim miktarında son 5 yılda ciddi bir artış olmadı. İstanbul'da 2009 yılında İstanbul'da 6 milyon 523 bin 5 kutu antidepresan benzeri ilaç satılırken 2013 yılında bu rakam 6 milyon 736 bin 378'e çıktı.



